Artrite séptica: aplicação de um protocolo de actuação
DOI:
https://doi.org/10.25754/pjp.2012.1192Abstract
Introdução: A artrite séptica é uma entidade pouco frequente cujo diagnóstico e tratamento precoces podem evitar sequelas graves. Em Janeiro de 2007, foi implementado no nosso hospital um protocolo de actuação com a finalidade de melhorar a abordagem das crianças com artrite séptica.
Objectivos: Comparar resultados pré e pós-protocolo; avaliação do cumprimento do protocolo e dos efeitos da sua implementação na abordagem diagnóstica, terapêutica e morbilidade da artrite séptica.
Materiais e Métodos: Estudo retrospectivo das crianças e adolescentes internadas por artrite séptica, durante 8 anos. Foram constituídos dois grupos: pré-protocolo (2003-2006) e pós-protocolo (2007-2010). Analisaram-se dados demográficos, clínicos, laboratoriais, imagiológicos, de terapêutica e evolução. A análise estatística foi realizada com o SPSS v17.
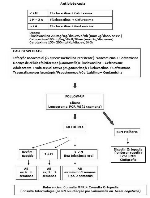
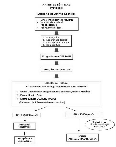
Resultados: Incluídos 93 doentes (42 pré-protocolo; 51 pós-protocolo). Após a implementação do protocolo, verificou-se um aumento significativo das colheitas de líquido sinovial para análise citoquimica (0 vs 27,5%, p<0.001, risco relativo 1.52) e bacteriológica (59 vs 90,2%, p=0.001, risco relativo 1.52). De igual modo, a realização de proteína C reactiva (88,1 vs 98%, p=0.087) e, principalmente, da velocidade de sedimentação (40,5 vs 80,4%, p<0.001, risco relativo 1.98) registaram aumentos. Verificou-se um aumento do isolamento de Staphylococcus aureus meticilino-resistente (2,4 vs 5,9%, p=0.624). O esquema terapêutico foi instituído em conformidade com o protocolo em cerca de 60% e a duração da antibioticoterapia endovenosa foi ajustada em mais de três quartos dos casos (82%). Identificaram-se registos de seguimento na quase totalidade dos doentes (92,1%).
Conclusão: Esta auditoria revelou uma melhoria global no padrão de cuidados prestados aos doentes com artrite séptica embora haja margem para evolução no futuro. O perfil de susceptibilidade aos antimicrobianos permite manter a flucloxacilina na terapêutica empírica destas infecções. A elaboração de um protocolo nacional com a colaboração de outras instituições, poderá permitir uma melhor adesão, tendo em vista a optimização de resultados.








